東方世界,幸好有楊振寧
有一些人,活得非常“葉公好龍”。TA們號稱渴望真理,而當真理來臨時,卻對它恨之入骨。TA們感嘆世界缺乏偉大,而當偉大就在身邊時,卻極盡誣蔑。楊振寧,作為全人類頂尖的物理學家之一。
他的偉大是歷史級別的偉大,他的成就是文明級別的成就。作為人類驕子,理應在華人世界受到頂禮膜拜,享受垂手金字塔尖的尊榮。而這位智者中的智者,卻被太多“蟲子”們所騷撓。

各種難以入耳的閑言碎語,各種自以為是的道德綁架,還有一些無聊人的造謠中傷。具體的騷撓就不說了,網絡上俯拾皆是。2017年,我們寫過一篇《中國人,你真的不了解楊振寧》,試圖讓更多普通人知道這位巨人的偉岸,然而,直到今天,仍然還有無數人對他嗤之以鼻,可你了解他嗎?回首人類近現代史300年,這是科學“群星閃耀”的年代,他們的名字是:
哥白尼、伽利略、笛卡兒、牛頓、萊布尼茨、歐拉、高斯、黎曼、伽羅瓦、阿貝爾、麥克斯韋、希爾伯特、愛因斯坦、玻爾、狄拉克、哥德爾、圖靈、費曼、外爾、溫伯格、蓋爾曼、威藤、霍金……

偉大的科學家們
正是這些名字,他們構建了偉大的“科技時代”,才有了輝煌的現代文明。在東方世界,能夠進入這個陣列的,那就是——楊-振-寧。為什么楊振寧有資格站在這個陣列,有一點很相似,他和麥克斯韋、愛因斯坦、狄拉克、牛頓等一樣,試圖用一個理論(方程)去解釋整個世界。

“宇稱不守恒”只是開胃菜
楊振寧到底用哪個公式統治世界?

宇稱不守恒
在大多數人的記憶里,楊振寧和李政道因為發現弱相互作用下“宇稱不守恒”,斬獲第一個華裔諾貝爾獎,成就了他的世界性聲譽。事實上,發現“宇稱不守恒”只是他的開胃小菜,楊的最大貢獻是貢獻了楊-米爾斯公式。楊-米爾斯方程是什么?

學院派的說法是:楊氏理論是基于SU(N)組的一種量規理論,或者更普遍地說,是一個緊湊、半簡單的李群。楊振寧米爾斯理論旨在描述基本粒子的行為使用這些非阿貝爾李群和統一的核心的電磁和弱力(即U(1)×SU(2))以及量子色動力學理論的強力(基于SU(3))。從而形成了我們對粒子物理標準模型理解的基礎。

萬物理論基本模型
好吧,講人話:楊振寧說我搞了一個公式,以這個公式為基石可以構成一套數學框架,這個框架能描述電磁力和弱力,這個框架我現在搭好了,但本人能力有限,希望大家一起來搞,我是開源的喔,也是免費的喔,如果你們好好學習悉心鉆研的話,可以利用它統一電磁力、弱力與強力。哪一天利用這個框架把引力干趴下了,我們就超越愛因斯坦了。稍有物理常識的人都會猜測出,楊振寧搞的這個方程,這不與大統一理論有關嗎?

科學圣杯:統一四種自然力
是的,理解楊-米爾斯方程的偉大,就要從“大統一理論”開始。
那什么是“大統一理論”,為什么要統一人類理論?楊-米爾斯方程又在這里扮演什么角色?

大統一理論思路圖
“大統一理論(Grand Unified Theory)”簡稱GUT,又稱為萬物之理。由于微觀粒子之間僅存在這四種相互作用力:萬有引力、電磁力(麥克斯韋完成)、強核力、弱核力。
理論上宇宙間所有現象也都可以用這四種作用力來解釋,所以物理學家們一直相信這四種作用力應有相同的物理起源,它們在一定的條件下應能走到一起、相聚于同一個理論框架內。能統一說明這四種相互作用力的理論或模型,可以稱為“大統一理論”。
因為構建了“大統一理論”,人類就可以解釋萬事萬物。所以構建“大統一理論”,是所有頂尖科學家的夢想。構建“大統一理論”著手點是統一四種自然力,必須從最基礎的粒子作用開始研究,由于微觀粒子之間僅存在四種相互作用力,萬有引力、電磁力、強核力、弱核力。理論上宇宙間所有現象,包括十維空間都可以用這四種作用力來解釋。
1、電磁力:包括電力、磁力和光本身,屬于長程力。2、強核力:是夸克之間的吸引力,由膠子傳遞。3、弱核力 :弱核力左右了部分放射性物質的衰變形態,造成β衰變。4、引力:由引力子傳遞,與質量成正比,距離成反比。
統一了這四種自然力,人類能夠改變時空結構,了解宇宙萬物來龍去脈,讓物質變得井然有序。任意地組合與改變粒子,制造出前所未有的物質形態。我們甚至能左右空間的維度數,成為宇宙真正的主宰。
回看一下人類掌握“力”的歷史:
1、人類誕生99.99%時間里,能夠掌握的能量只是雙手和肌肉力量,只有八分之一馬力;2、十萬年前,隨著手持工具發明,人類的能量輸出倍增,達到一又四分之一馬力;3、牛頓發現萬有引力。現代機械原理催生出蒸汽機,人類掌握的能量達到數十到數百馬力;4、麥克斯韋方程式,人類進入電力時代,能量級數獲得飛躍,極大推動人類文明進程;5、愛因斯坦的質能方程為人類打開了核能新時代,人類尚未成功發掘其潛能。
可見,如果哪一天我們統一了四種力,就贏取了科學圣杯,成為自己的上帝。

人類最偉大的“盜火者”
可尋找到一個解釋宇宙萬物的方程,談何容易。人類世界那些試圖“統一自然力”的科學家,無一不是頂尖天才。
在科學走向統一的大路上,這些“盜火者”有伽利略、牛頓、黎曼、麥克思韋、愛因斯坦,以及今天我們說到的楊振寧。
讓我們來看看這段天才們走過的曲折而輝煌的人類之路,也許有些人迷戀于王候將相的春秋殺戳,有些人膜拜權力與財富的帝國縱橫,但相對于我來說,人類頂尖天才尋找宇宙里的真知圣火,那才是全人類真正值得驕傲的時光。
讓我們一起來感知這段曲折而美妙的旅程:

黑晚的中世紀逐漸遠去,文藝復興帶來歐洲巨變,拿著望遠鏡仰望星空的伽利略似乎獲得了神的指導,他首先統一了運動與靜止的關系。

緊隨其后的牛頓真正成為了上帝使者,他的牛頓三大定律和萬有引力公式直接統一了九天星辰的運轉之力,萬物遂成光明。

不世出的數學天才黎曼也不甘示弱,當所有人都臣拜在牛頓膝蓋前時,他認為自然力只是幾何結構扭曲所造成的現象,直接吊打已經成神的牛頓,可惜天妒黎曼,英年早逝的他長眠在比甘佐羅教堂的院子里,墓碑上的碑文是:叫愛神的人得益處。

麥克斯韋緊跟其后,這個低調得讓人懷疑一生沒有談過戀愛的男人,卻有著無與倫比的數理能力,因為沒有其它的愛好,它建立了完整的電磁理論,將電力和磁力統一了起來。
一直到19世紀末,人類一直走得順風順水,大統一理論好像就在山的那邊水的那邊,其中引力由牛頓萬有引力定律管轄,電磁力則由麥克斯韋方程組約束。但麻煩的事情來了,麥克斯韋方程組和牛頓力學這套框架居然是矛盾的,這守護人類科學邊界的左右護法打起來了。這,誰敢拉架呢?

好在另一個天才愛因斯坦橫空出世,他用狹義相對論調和麥克斯韋方程組與牛頓力學之間的矛盾,用廣義相對論收拾了喜歡超時空漫步的引力這個大刺頭。接下來愛因斯坦的野心就非常的明顯了:統一引力和電磁力,找到整個宇宙的終極真理。
就在愛因斯坦同學在思考人類的終極奧義之時,突然冒出來的量子力學那幫古惑仔,不但不來幫忙,還在那里瞎折騰什么“測不準”“不確定”,他們一路狂奔撬開了原子核這個“潘多拉魔盒”,在原子核內部又發現了兩種新的力:強核力和弱核力。
這下可好,不但沒能統一引力和電磁力,居然又冒出來兩種新的力。愛因斯坦差點沒被氣死,這一輩子是不可能大統一了。

然后就到楊振寧的表演時間了,對于楊振寧來說,引力這廝貌似已經“跳出三界外,不在五行中”,先就讓它呆在愛因斯坦的廣義相對論殿堂里逍遙自在,我們先把電磁力、弱核力與強核力這三個力給統一了,回頭再慢慢的來收拾它。
1954年,32歲的楊振寧給出了楊-米爾斯方程,并為此摸索出一套基于對稱性與群論的數學框架,就是大名鼎鼎的“楊-米爾斯規范場論”。

“規范場”能與“相對論”比肩?
規范場論,真的有那么厲害?
諾貝爾獎得主丁肇中曾這樣說:
“提到本世紀的物理學里程碑,我們首先想到三件事,一是相對論(愛因斯坦),二是量子力學(狄拉克),三是規范場(楊振寧)”。
可大多數人根本就沒有聽說過這個理論,“相對論”是大家小學沒畢業就知道“和女朋友在一起時間可以變短”的故事,“量子力學”也聽得耳朵起繭了,但“規范場論”摸著良心講真沒聽過。

規范場論
其實原因很簡單,“規范場論”是當代物理學最前沿陣地,如果你不是物理博士,根本就不可能接觸到“規范場論”,一輩子也不可能與同位旋SU(2)打交道。
“規范場論”已經不是與質子、中子攀交情,而是和夸克一樣級別的小玩意捉迷藏,尋常人等早已經被電磁場弄得死去活來,哪里還敢進入“規范場論”這種仙家會所修煉。 所以,另一個問題有了答案。
很多人在問,近60年來物理學家都干什么去了?大家似乎也只記得1900年到1953年這個黃金時代,愛因斯坦、玻爾、薛定諤、海森堡、狄拉克、玻恩、泡利等天才攜手而來。

而自從1955年愛因斯坦去世之后,物理界聲音小了很多。近60年來,物理學家去哪里了呢?答案是:很多優秀的物理學家在“規范場論”里尋找生存的意義,只是這個領域太前沿太深奧,并沒有多少人能夠真正理解它。
如果說20世紀初“相對論”是物理學旗手,中期是“新量子論”的天下,那么下半葉則屬于“規范場論”。當然也有一些不同的說法,20世紀只有相對論和量子力學,其他都是前奏或后續。規范場論作為后續最成功的理論之一。我們不在這方面作出過多的討論,但基于“規范場論”形成的微觀粒子標準模型,一定可以稱為20世紀物理學三大成就之一。

“規范場論”微觀意義:
建立微觀粒子標準模型
規范場論雖然陌生,其實與牛頓三大定律本質沒什么區別。大部分人對微觀粒子的認知到了“夸克”就基本終結,物理教科書上對“夸克”也語焉不詳,沒有幾個人去探索這個深邃的亞原子世界。宏觀世界我們有牛頓三大定律,不管人類深入地底還是探索火星,都必須遵守牛頓定律,但微觀世界,又應該遵守哪一個定律?

原子示意圖
“規范場論”目標就是建立一個完美的粒子標準模型,描述亞原子世界的運動狀態,要讓肉眼凡胎看不見的創世粒子,都在這個標準模型下運轉。但這比早期玻爾在“量子世界”建立原子標準模型還要難,因為亞原子世界比原子還要細微,比電子還要縹緲。

現代粒子對撞實驗示意圖
現代物理必須弄清楚質子、中子和電子的相互作用。要探索這個世界,人類只有通過大型對撞機才能去發現其中的蛛絲馬跡。
經過現代粒子對撞實驗和理論的發展,主流物理學已經達成共識,質子由兩個上夸克和一個下夸克組成,中子由兩個下夸克和一個上夸克組成,而這些夸克的特性又有不同顏色。

質子夸克模型
然而,構建全面的夸克理論,必須假設有六種夸克,這些夸克組合成許多其它粒子。除了夸克組成的強子,還有輕子,輕子的種類和夸克一樣,也是六種。夸克和夸克之間的強相互作用力又需要相應的交換粒子來傳遞,這些交換粒子叫做規范玻色子(如膠子)。
從夸克、輕子、規范玻色子,以及希格斯玻色子的交互作用來看,“規范場論”是描述亞原子世界的最成功的物理框架,目前的實驗結果和規范場論的標準模型符合得很好,它對電子與光子之間相互作用的預計精確到,這是史上最精確的理論,沒有之一。
實驗證明了理論的正確性,不管你相不相信“規范場論”,它現在就是粒子物理的基石。
也就是說,規范場論是微觀世界的牛頓三大定律。

“規范場論”宏觀意義:
實現愛因斯坦“大統一理論”
微觀與宏觀是對應的,微觀粒子間的作用最終表現為宏觀的力。
自然界中的基本相互作用幾乎都是通過某種形式的規范場來傳遞的,并由此確立了當代物理學的一個基本原則:幾乎全部基本力都是規范場。
那么,規范場論有可能實現愛因斯坦眼中的“大統一理論”?(以下內容如果你讀不懂,不是你的問題,是楊振寧先生的問題,量子學派已經盡力了)

量子規范理論實驗圖
我們可以用一個規范群為的規范場論來尋找這個答案:
1、電磁力對應規范場論。是一種最簡單的規范場論,與電磁作用相聯系的群是阿貝爾群,數學大神外爾給出了漂亮解釋。
2、弱核力對應規范場論。由楊-米爾斯理論引入非阿貝爾規范場論解決,核子同位旋對稱性在數學上屬于群, 是非阿貝爾群。
3、強核力對應規范場論。強子由夸克構成,夸克間的強相互作用由規范作用來實現,群也是非阿貝爾群。

真空對稱性自發破缺
1967年,溫伯格和薩拉姆將“對稱性破缺”引入弱相互作用和電磁相互作用統一的模型上,提出了規范群結構,建立了弱電統一理論,這是一種規范場論。

量子色動力學
1973年,格羅斯、波利茨和威爾茨克建立了基于非阿貝爾規范場的量子色動力學。形成了與電磁力、強核力、弱核力有關的所有物理現象的標準模型。
也就是說,除了引力,“規范場論”統一了三種力。
另外,我們還能看到,引力場就是在局部廣義時空坐標變換下協變的規范場論。這就不得不讓人們想到:是否物理學的統一之路歸于“規范場論”呢?
當然,想將引力也納入“規范場論”的標準模型中并不容易。雖然群涵蓋了三種相互作用,但是這畢竟是三個不同的群,如果能夠找一個單一的群,比如比較流行的和,它們含有子群,然后在低能標對稱性自發破缺,這就是大統一。

超弦理論
直到現在,引力始終還沒有統一進來,這又涉及到更前沿的“超弦理論”和“M理論”,隨著希格斯粒子的發現,“超弦理論”困難重重,目前來看,“規范場論”仍然是最有可能實現愛因斯坦“大統一之夢”的優秀理論。

偉大的錯誤:楊-米爾斯方程
在規范場論框架之上,物理學家們建立起基本粒子標準模型,這是現代物理學最偉大的成就。
近60年來,再無獲得共識的偉大的物理學理論問世;近60年來,也再無偉大的物理學家被奉為世界“燈塔”;近60年來,也再無激動人心的新人理論得到驗證;
很多時候,我們甚至懷疑,真的有一個超級文明將我們的物理學鎖死了!再次回首“規范場論”,越發能感覺到它的偉大,這個統治半甲子物理世界的理論,又離不開那個最開始的楊-米爾斯方程。

楊振寧在普林斯頓研究院課室
1949年的春天,29歲的楊振寧前往普林斯頓高等研究院,不僅接租了大數學家外爾的房子,還接替了外爾在理論物理界的位置。
作為一位出生于中國的物理學家,東方審美一直深深影響著他,“對稱性”對于楊振寧來說,一直有著磁鐵般的吸引力。
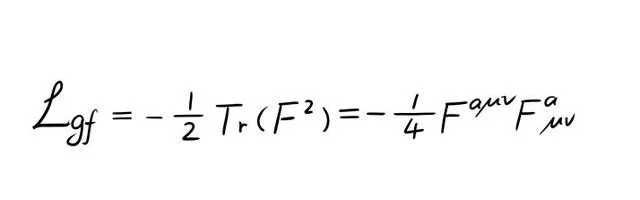
他沿著外爾的思考方向,把規范不變性推廣到與電荷守恒定律類似的同位旋守恒中。認識到了描述同位旋對稱性的是一種非阿貝爾群后,他與學生米爾斯提出了楊-米爾斯理論,即“楊-米爾斯方程”,經過后世科學家重新推導修正,方程現在具體如下:
楊-米爾斯方程是一個非線性波動方程,是線性的麥克斯韋方程的推廣。
雖然全世界并沒有多少人能弄懂它,但卻是物理學界最重要的方程式之一,它開啟了“規范場論”的偉大征程。
但楊-米爾斯理論并非一帆風順。
1954年,楊振寧被物理學界的“上帝鞭子”泡利追問:電磁規范場的作用傳播子是光子,光子沒有質量,但是,強弱相互作用不同于電磁力,電磁力是遠程力,強弱相互作用都是短程力,一般認為短程力的傳播粒子一定有質量。
泡利不愧是物理界黃金時代的頂尖大牛,慧眼如灼,正是這個質量難題,讓規范理論默默等待了20年!年輕的楊振寧一身冷汗,當時場景分外尷尬,報告幾乎進行不下去,虧得主持人奧本海默打圓場,泡利方才作罷。
楊-米爾斯公式雖然沒有真正解決強相互作用問題,但卻構造了一個非阿貝爾規范場的模型。
開創者對該理論的貢獻有多大,這樣的成就不是誰可以否定的。
規范場論歷經溫伯格、蓋爾曼、希格斯、威騰等科學家添磚加瓦,為所有已知粒子及其相互作用提供了一個框架。后來的弱電統一、強作用,直到標準模型,都是建立在這個基礎上。
即使是尚未統一到標準模型中的引力,也有可能包括進規范場的理論之中。
如今,六十多年過去了,可以毫不夸張地說:楊-米爾斯規范場理論,對現代理論物理起了“奠基”的作用。

“規范場論”的遺憾:
楊-米爾斯存在性和質量缺口
“規范場論”在實驗室被反復證明,但數學解釋并不完美。楊-米爾斯理論一出生就有著先天缺陷,泡利提出的質量問題最后被南部陽一郎的對稱性自發破缺機制及希格斯等人發明的希格斯機制勉強解決,成果就是電弱統一理論。

電弱統一理論示意圖
但這并不能否定楊振寧的成就,在他獲取諾獎后63多年來,有7個諾獎得主是因為找到楊振寧的“楊-米爾斯規范場論”預測的粒子而獲獎,例如丁肇中、希格斯。
楊家將幾乎壟斷了60年來的諾獎物理獎的理論物理和粒子物理部分,另外有6個菲爾茲獎是研究楊振寧的方程而來。對于任何一個物理學家來說,這是多么偉大的成就。
至于微觀粒子基本模型,歷經溫伯格、蓋爾曼、希格斯、威騰等科學家添磚加瓦后,這些人最終預言了61個基本粒子。

標準模型的基本粒子
在以后的數十年里,尋找這61個基本粒子成為物理學家一生的追求,讓人嘆服的是,每一個粒子都一一被找到,微觀粒子基本模型就此站上了神壇。
由于楊振寧提供了基礎框架,告訴大家尋找的方法,所以把功勞算在他頭上也是合理的。每一個粒子被找到,他的頭上都會多出一圈魂環,這就是為什么老楊現在成了泰山北斗,看看現代物理學的研究,楊振寧是繞不開的一座高山。從這個意義上來說,說楊-米爾斯公式統治世界,也并不為過。

他是飛翔于天上的雄鷹
楊-米爾斯理論,它是全人類的智慧。
就像歐氏幾何學五大公理一樣,它是科學大廈的“底座”。
楊振寧的貢獻,也不是那些娛樂八卦能夠詆毀得了的。

1957年諾貝爾獎現場照片
不過,我們也不能神化一個人。除了愛因斯坦這個奇葩,物理學發展到今天,一個人要完成一個全部構架基本上是不可能的。很多理論在基本框架建立之初,很多概念是模糊的、不成熟的,楊振寧雖然提出了非阿貝爾規范場,但是當時仍然局限于同位旋SU(2)。在評價“楊-米爾斯的規范場論”的時候,很多人會把“楊-米爾斯的規范場論”等同于微觀粒子基本模型。事實上,微觀粒子基本模型的建立是一個龐大的工程,無數優秀的物理學家為其作出杰出貢獻,前前后后也產生了十七個諾貝爾獎。

楊振寧領取諾貝爾獎
不過,無論如何解釋,楊-米爾斯方程,仍然是歷史級別的偉大。楊振寧提供的基礎框架framework,同樣站在文明的巔峰。現代物理學雖然群山起伏連綿不絕,那孤獨的高峰卻屈指可數。
量子電動力學大牛弗里曼·戴森在他的著名演講《鳥和青蛙》里這樣評價:
楊振寧高高地飛翔在諸多小問題構成的熱帶雨林之上,我們中的絕大多數在這些小問題里耗盡了一生的時光!
是的,他像一只雄鷹,俯瞰整個大地。今年,楊振寧先生99歲了。祝永遠健康,年青依舊。明年的十月一日,慶祝百歲誕辰!